おかげさまで開設25周年GRIZSTORE.IT 創業祭

GRIZSTORE.IT

詳しくはこちら
マイストア マイストア 変更
  • 即日配送
  • 広告
  • 取置可能
  • 店頭受取

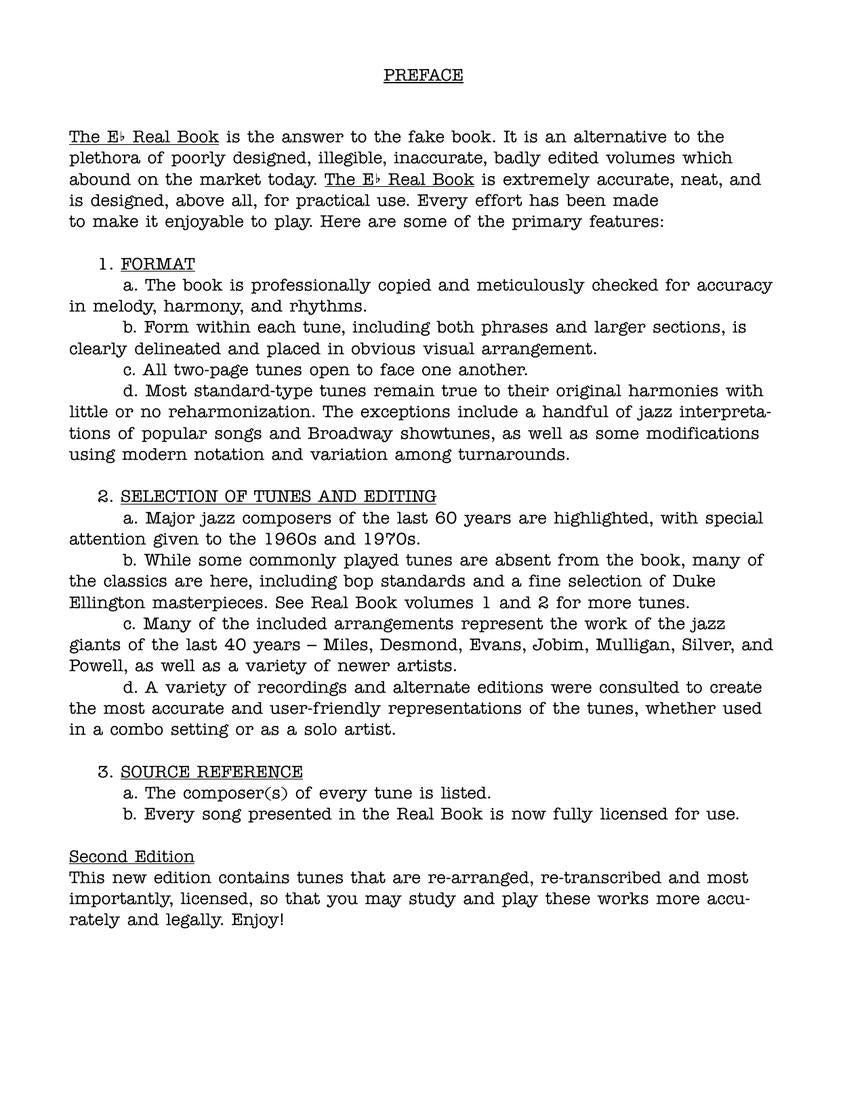
HOT ! New Real Book Vol.3 コンテンポラリー1001 4 The New Real Book - Volume 3 (Eb Version)

※GRIZSTORE.IT 限定モデル
YouTuberの皆様に商品の使い心地などをご紹介いただいております!
紹介動画はこちら

ネット販売
価格(税込)

5850

  • コメリカード番号登録、コメリカードでお支払いで
    コメリポイント : 6ポイント獲得

コメリポイントについて

購入個数を減らす
購入個数を増やす

お店で受け取る お店で受け取る
(送料無料)

受け取り店舗:

お店を選ぶ

近くの店舗を確認する

納期目安:

13時までに注文→17時までにご用意

17時までに注文→翌朝までにご用意

受け取り方法・送料について

カートに入れる

配送する 配送する

納期目安:

2025.09.17 18:54頃のお届け予定です。

決済方法が、クレジット、代金引換の場合に限ります。その他の決済方法の場合はこちらをご確認ください。

※土・日・祝日の注文の場合や在庫状況によって、商品のお届けにお時間をいただく場合がございます。

即日出荷条件について

受け取り方法・送料について

カートに入れる

欲しいものリストに追加

欲しいものリストに追加されました

New Real Book Vol.3 コンテンポラリー1001 4 The New Real Book - Volume 3 (Eb Version)の詳細情報

The New Real Book - Volume 3 (Eb Version)。Amazon | The Real Book Bb : Volume 3 second edition | Hal。Amazon | The Real Book Bb : Volume 3 second edition | Hal。New Real Book Vol.3 「コンテンポラリー1001 4」です。ゴシック&ロリータバイブルエクストラ 小倉優子。書き込み等もありません。The Real Book – Volume 3 (E-flat Edition) – Ficks Music。スタンダードからモータウン&ポップまで 幅広い選曲のソングブックです。自宅内にて必要なときに軽く参照していた程度で、使用頻度は低かったため、状態は良い方です。マナーズ博士 CD バランス&フォーカス KABUTO 心とからだのバランス調整。【激レア 初版・帯付】月姫読本plus period 宙出版 2004年。ジョー・ヘンダーソン、アート・ブレイキー、リー・モーガン、ボビー・ハッチャーソン、フレディ・ハバード、チック・コリア、ジョン・コルトレーン、ビル・エヴァンス、マイルス・デイヴィス、ウェイン・ショーター、ハービー・ハンコック、ホレス・シルヴァー、イエロージャケッツ、ケニー・カークランド、マリア・シュナイダー 、ボブ・バーグ、トム・ハレル#本 #BOOK #アート #エンタメ
  • The New Real Book - Volume 3 (Eb Version)
  • Amazon | The Real Book Bb : Volume 3 second edition | Hal
  • Amazon | The Real Book Bb : Volume 3 second edition | Hal
  • The Real Book – Volume 3 (E-flat Edition) – Ficks Music

同じカテゴリの 商品を探す

ベストセラーランキングです

このカテゴリをもっと見る

この商品を見た人はこんな商品も見ています

近くの売り場の商品

このカテゴリをもっと見る

カスタマーレビュー

オススメ度  4.6点

現在、2346件のレビューが投稿されています。